-
盐酸二甲双胍 编辑
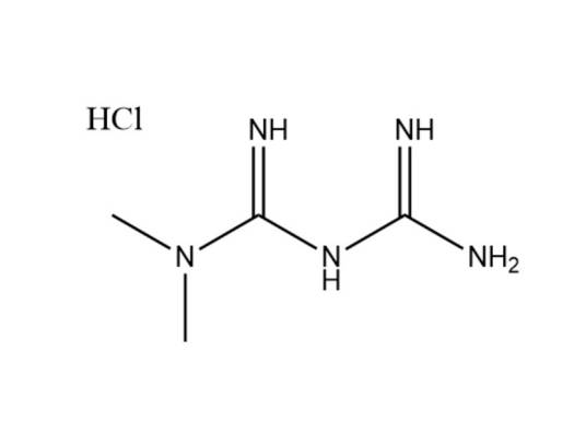
盐酸二甲双胍,是一种有机化合物,化学式为C4H12ClN5,主要用作降血糖药。
中文名:盐酸二甲双胍
外文名:Metformin Hydrochloride
化学式:C4H12ClN5
分子量:165.625
CAS登录号:1115-70-4
EINECS登录号:214-230-6
熔点:223 至 226 ℃
水溶性:易溶
外观:白色结晶性粉末
闪点:89.3 ℃
安全性描述:S26;S36
危险性符号:Xn
危险性描述:R22;R36/38
基本信息
化学式:C4H12ClN5
分子量:165.625
CAS号:1115-70-4
EINECS号:C4H12ClN5
理化性质
熔点:223-226°C
闪点:89.3℃
外观:白色结晶性粉末
溶解性:易溶于水,在甲醇中溶解,在乙醇中微溶,不溶于乙醚和氯仿
计算化学数据
疏水参数计算参考值(XlogP):无
氢键供体数量:4
氢键受体数量:1
可旋转化学键数量:2
互变异构体数量:3
拓扑分子极性表面积:91.5
重原子数量:10
表面电荷:0
复杂度:132
同位素原子数量:0
确定原子立构中心数量:0
不确定原子立构中心数量:0
确定化学键立构中心数量:0
不确定化学键立构中心数量:0
共价键单元数量:2
适应症
用于轻症糖尿病。
用法用量
口服:从小剂量开始渐增剂量。通常起始剂量为一次0.5g,一日2次;或0.85g,一日1次;随餐服用;可每周增加0.5g,或每2周增加0.85g,逐渐加至一日2g,分次服用。
10~16岁的2型糖尿病患者本品的一日最高剂量为2000mg;成人最大推荐剂量为一日2550mg;对需进一步控制血糖患者,剂量可以加至一日2550mg(即一次0.85g,一日3次);一日剂量超过2g时,为了更好的耐受,最好随3餐分次服用。
不良反应
1、有恶心、呕吐、厌食、腹泻等胃肠道反应。
2、大剂量时可阻断三羧酸循环,导致丙酮酸在细胞内堆积,丙酮酸又部分转化为乳酸,可造成乳酸性酸中毒。由于糖利用不足,机体动用脂肪,故出现酮尿,肝、肾功能障碍者更易发生。
注意事项
1、定期检查肾功能,可减少乳酸酸中毒的发生,尤其是老年患者更应定期检查。65岁以上老人慎用。
2、接受外科手术和碘剂X线摄影检查前患者需暂停口服本品。
3、肝功能不良、既往有乳酸酸中毒史者应慎用。
4、应激状态:如发热、昏迷、感染和外科手术时,应暂时停用本品,改用胰岛素,待应激状态缓解后再恢复使用。
5、对1型糖尿病患者,不宜单独使用本品,而应与胰岛素合用。
6、本品可减少维生素B12的吸收,应定期监测血常规及血清维生素B12水平。
7、老年、衰弱或营养不良的患者,以及肾上腺和垂体功能低减、酒精中毒的患者更易发生低血糖。
8、单独接受本品治疗的患者在正常情况下不会产生低血糖,但与其他降糖药联合使用(如磺酰脲类和胰岛素)、饮酒等情况下会出现低血糖,须注意。
9、服用本品治疗血糖控制良好的2型糖尿病患者,如出现实验室检验异常或临床异常(特别是乏力或难于言表的不适),应迅速寻找酮症酸中毒或乳酸酸中毒的证据,测定包括血清电解质、酮体、血糖、血酸碱度、乳酸盐、丙酮酸盐和二甲双胍水平,如存在任何类型的酸中毒都应立即停用本品。
禁忌症
1、10岁以下儿童、80岁以上老人、妊娠及哺乳期妇女。
2、肝肾功能不全者或肌酐清除率异常者。
3、心功能衰竭(休克)、急性心肌梗死及其他严重心、肺疾病。
4、严重感染或外伤、外科大手术、临床有低血压和缺氧等。
5、急性或慢性代谢性酸中毒,包括有或无昏迷的糖尿病酮症酸中毒。
6、并发严重糖尿病肾病或糖尿病眼底病变。
7、酗酒者、维生素B12及叶酸缺乏未纠正者。
8、需接受血管内注射碘化造影剂检查前,应暂停用本品。
9、对本品过敏者。
来源
本品为1,1-二甲基双胍盐酸盐,按干燥品计算,含C4H11N5•HCI不得少于98.5%。
性状
本品为白色结晶或结晶性粉末,无臭。
本品在水中易溶,在甲醇中溶解,在乙醇中微溶,在三氯甲烷或乙醚中不溶。
熔点
本品的熔点(通则0612)为220~225°C。
吸收系数
取本品适量,精密称定,加水溶解并定量稀释制成每1mL中约含5µg的溶液,照紫外-可见分光光度法(通则0401),在233nm的波长处测定吸光度,吸收系数(E1%1cm)为778~818。
鉴别
1、取本品约10mg,加水10mL溶解后,加10%亚硝基铁氰化钠溶液-铁氰化钾试液-10%氢氧化钠溶液(等体积混合,放置20分钟使用)10mL,3分钟内溶液呈红色。
2、本品的红外光吸收图谱应与对照的图谱(光谱集631图)一致。
3、本品显氯化物的鉴别反应(通则0301)。
检查
有关物质
照高效液相色谱法(通则0512)测定。
供试品溶液:取本品适量,精密称定,加流动相溶解并定量稀释制成每1mL中约含5mg的溶液。
对照溶液:精密量取供试品溶液1mL,置200mL量瓶中,用流动相稀释至刻度,摇匀。
对照品溶液:取双氰胺对照品适量,精密称定,加水溶解并定量稀释制成每1mL中约含0.1mg的溶液,精密量取适量用流动相定量稀释制成每1mL中约含1µg的溶液。
系统适用性溶液:取盐酸二甲双胍与三聚氰胺适量,加水溶解并稀释制成每1mL中含盐酸二甲双胍0.25mg与三聚氰胺0.1mg的溶液,取1mL,置50mL量瓶中,用流动相稀释至刻度,摇匀。
色谱条件:用磺酸基阳离子交换键合硅胶为填充剂,以1.7%磷酸二氢铵溶液(用磷酸调节pH值至3.0)为流动相,检测波长为218nm,进样体积10µL。
系统适用性要求:系统适用性溶液色谱图中,二甲双胍峰与三聚氰胺峰之间的分离度应大于10.0。
测定法:精密量取供试品溶液、对照溶液与对照品溶液,分别注入液相色谱仪,记录色谱图至二甲双胍峰保留时间的2倍。
限度:供试品溶液色谱图中如有与双氰胺保留时间一致的色谱峰,按外标法以峰面积计算,不得过0.02%,其他单个杂质峰面积不得大于对照溶液主峰面积的0.2倍(0.1%),其他杂质峰面积的和不得大于对照溶液主峰面积(0.5%)。
干燥失重
取本品,在105°C干燥至恒重,减失重量不得过0.5%(通则0831)。
炽灼残渣
不得过0.1%(通则0841)。
重金属
取本品1.0g,依法检查(通则0821第一法),含重金属不得过百万分之二十。
含量测定
取本品约60mg,精密称定,加无水甲酸4mL使溶解,加醋酐50mL,充分混匀,照电位滴定法(通则0701),用高氯酸滴定液(0.1mol/L)滴定,并将滴定的结果用空白试验校正。每1mL高氯酸滴定液(0.1mol/L)相当于8.282mg的C4H11N5•HCI。
类别
降血糖药。
贮藏
密封保存。
制剂
1、盐酸二甲双胍片。
2、盐酸二甲双胍肠溶片。
3、盐酸二甲双胍肠溶胶囊。
4、盐酸二甲双胍胶囊。
安全术语
S26:In case of contact with eyes, rinse immediately with plenty of water and seek medical advice.
眼睛接触后,立即用大量水冲洗并征求医生意见。
S36:Wear suitable protective clothing.
穿戴适当的防护服。
风险术语
R22:Harmful if swallowed.
吞食是有害的。
R36/38:Irritating to eyes and skin.
刺激眼睛和皮肤。
1、本站所有文本、信息、视频文件等,仅代表本站观点或作者本人观点,请网友谨慎参考使用。
2、本站信息均为作者提供和网友推荐收集整理而来,仅供学习和研究使用。
3、对任何由于使用本站内容而引起的诉讼、纠纷,本站不承担任何责任。
4、如有侵犯你版权的,请来信(邮箱:baike52199@gmail.com)指出,核实后,本站将立即删除。

















