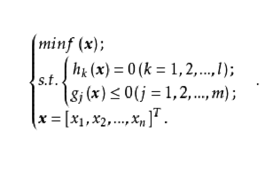
约束条件
1、本站所有文本、信息、视频文件等,仅代表本站观点或作者本人观点,请网友谨慎参考使用。2、本站信息均为作者提供和网友推荐收集整理而来,仅供学习和研究使用。3、对任何由于使用本站内容而引起的诉讼、纠纷,本站不承担任何责任。4、如有侵犯你版权的,请来信(邮箱:baike52199@gmail.com)指出,核实后,本站将立即删除。
下一篇 同义反复
上一篇 制度分析
梁洛施
龚蓓苾
李语蔚
张小斐
陈道明
王劲松
沈腾
黄渤
鲁迅
中国文学家、思想家
杭州公安局交警大队女骑辅警
李玲玉
中国内地流行乐女歌手、演员
瞿秋白
无产阶级革命家
田汉
中国现代戏剧三大奠基人之一
慈禧太后
清朝晚期重要政治人物
黄宾虹
碧野
杨朔
海伦·凯勒
黄霑
李可染
聂华苓
周培源
张火丁
麻美由真
张淑景
唐国强
杰森·斯坦森
林青霞
西野七濑
钟镇涛
宋小川