-
磁单极子 编辑
磁单极子是理论物理学弦理论和高能粒子物理中指一些仅带有N极或S极单一磁极的磁性物质,它们的磁感线分布类似于点电荷的电场线分布,准确的说磁单极粒子是一种‘微观’的一极磁通超导的能效粒子,磁单极粒子的存在,必须是‘超导量化’的量子跃迁磁极线性的‘纳米线性’微量实效粒子,粒子以一种量子跃迁的‘角动量’连贯线性组合存在并可以测量。
科学界之所以如此感兴趣于磁单极子,是因为磁单极子在粒子物理学与天体粒子学当中的重要性,暗物质中的暗物质粒子,大统一理论和超弦理论都预测了它的存在。
磁单极粒子,存在于特定环境下的一种特殊能量场。严格意义说,仅仅是一种物质能量场与粒子的‘源激发’磁极子逃逸关联,磁单极粒子不具备多磁极的特性,同时具备它特独有的特点是暗物质暗能量中暗物质粒子的首选。宏观宇宙环境下已知的黑洞和奇点属于单磁极的宏观表现。
英国物理学家保罗·狄拉克(Paul Dirac)早在1931年利用数学公式预言了磁单极粒子的存在。 当时他认为既然带有基本电荷的电子在宇宙中存在,那么理应带有基本“磁荷”的粒子存在。从而启发了许多物理学家开始了他们寻找磁单极粒子的工作。通过种种方式寻找磁单极粒子包括使用粒子加速器人工制造磁单极子均无收获。1975年,美国的科学家利用高空气球来探测地球大气层外的宇宙辐射时偶尔发现了一条轨迹,当时科学家们分析认为这条轨迹便是磁单极粒子所留下的轨迹。1982年2月14日,在美国斯坦福大学物理系做研究的布拉斯·卡布雷拉宣称他利用超导线圈发现了磁单极粒子,然而事后他在重复他先前的实验时却未得到先前探测到的磁单极粒子,最终未能证实磁单极粒子的存在。内森·塞伯格(Nathan Seiberg)和爱德华·威滕(Edward Witten)两位美国物理学家于1994年首次证明出磁单极粒子存在理论上的可能性。
正负电子粒子的‘激发态’存在
激发态逃逸粒子‘磁单极粒子的存在’
在经典电磁理论中,磁场是由电流和变化的电场产生的,磁南极和磁北极总是同时存在的,不存在磁单极子。1931年P.A.M.狄拉克从分析量子系统波函数相位不确定性出发,得出磁单极子存在的条件,可用以说明电荷量子化这个理论上无法说明的事实。20世纪70年代以后建立起来的大统一理论以及早期宇宙的研究都要求存在磁单极子,磁单极子的质量重达1016吉电子伏/光速^2(GeV/C^2)。实验上探测磁单极子成为检验粒子物理大统一理论和天体物理宇宙演化理论的重要依据。
尽管对磁单极子的系统研究从1931年就开始了,还没有被观察到,而且非常可能并不存在。然而,有些理论物理学模型则预言了磁单极子的存在。保罗·狄拉克在1931年断言,因为电场与磁场表现出某种对称性,就像在量子理论预言的正电荷或者负电荷并不需要相反的电荷存在,独立的南极或者北极应该也能被观测到。应用量子理论,狄拉克预言,如果磁单极子如果存在,就可以解释电荷的量子化——就是为何可以观察到基本粒子带电量是电子带电量的倍数。
一些大统一理论也预言了磁单极子的存在:不同于基本粒子,磁单极子是孤波(局域能量包)。使用这些模型去估计大爆炸中产生的磁单极子的数目,得到的最初结果与对宇宙的观察结果相矛盾--磁单极子是如此的多而巨大,它们甚至可以阻止宇宙的膨胀。然而宇宙暴涨理论(也是这个理论被提出的原因之一)成功地解决了这问题。这个理论建立了一个模型,使得磁单极子在宇宙中存在,但数量极少的能够与实际观测相符合。
磁单极粒子作为物质的基本构成,它的单独存在可能非常困难,或者可能极其微弱以致无法测量,从二元论的角度分析可能会更合理些,如纯的吸引性粒子和纯的排斥性粒子,曾经作过广泛的探查 ,而且每当粒子加速器开拓新能区或发现新的物质源(例如从月球上取来岩石)都要重新进行磁单极粒子的的搜索。1982年采用超导量子干涉器件磁强计探测到一起磁单极粒子的事例,但还不足以肯定其存在。
霍尔效应与磁单极子
在相对论提出之后,发现所谓的磁场,极有可能只是电场的相对论效应。在一个参考系中仅仅存在电场的情况下,在另一个参考系中,却需要另外引入“磁场”才能描述的原因是:在产生”磁场“的电流中,正负电荷的运动状态并不相同,在带电粒子所在参考系中,电荷分布由于相对论效应,发生了变化,让电荷分布与观察者所在参考系不同,甚至有净电荷分布,从而导致粒子受到力的作用,运动状态发生改变;运动状态发生改变之后,在带电粒子所在参考系观察的所得到的电荷分布也会改变,从而受到的力也在不停随运动改变。而观察者所在参考系中,不存在带电粒子参考系所观察到的净电荷分布,所以过去不知道相对论效应的人们引入了磁场来描述运动带电粒子受到电流的影响。如果磁场确实只是电场的相对论效应,那么从根本上就可能不存在磁单极子,因为连磁场B的引入都是多余的,B仅仅是一个辅助量。因为不存在磁场,自然也就也就不存在相应的磁单极子了。
历程
随着磁单极粒子的提出,科学界由此掀起了一场寻找磁单极粒子的狂潮。人们绞尽脑汁,采用了各种各样的方法,去寻找这种理论上的磁单极粒子。
科学家首先把寻找的重点放在古老的地球的铁矿石和来自地球之外的铁陨石上,因为他们觉得这些物体中,会隐藏着磁单极粒子这种“小精灵”。然而结果却令他们大失所望:无论是在“土生土长”的地球物质中,还是那些属于“不速之客”的地球之外的天体物质中,均未发现磁单极粒子!
痕迹
古老岩石探测和加速器实验所遭到的挫折,并没有使科学家们气馁,反而更加激发了他们的斗志,并促使他们广开思路,想到了这也许是因为加速器的能量不够大的缘故,他们一方面试图研制出功能更加强大的加速器,一方面把目光投向能量更大的天然的宇宙射线,试图从宇宙射线中找到磁单极粒子的踪影。从宇宙射线中寻找磁单极粒子的理论根据有两方面:—种是宇宙射线本身可能含有磁单极粒子,另一种是宇宙射线粒子与高空大气原子、离子、分子等碰撞会产生磁单极粒子。他们曾经把希望寄托在一套高效能的装置上,因为这种装置可以捕捉并记录到非常微小、速度非常快的电磁现象。他们期待着利用这套装置能把宇宙线中的磁单极粒子吸附上,遗憾的是这套装置也未能使他们如愿以偿,满腔希望的他们又遭受了一次沉重的失望的打击。
但是,科学家们并不因此气馁和放弃,他们仍在不断地寻找着机会。人类登月飞行的实现,又重新在科学家心目中燃起了熊熊的希望之火,让科学家把目光投向那寂静荒凉的地方,因为月球上既没有大气,磁场又极微弱,应该是寻找磁单极粒子的好场所。1973年,科学家对“阿波罗”11号、12号和14号飞船运回的月岩进行了检测,而且使用了极灵敏的仪器。但出人意料的是,竟没有测出任何磁单极粒子。
实际上,自20世纪30年代以来,磁单极粒子一直是物理学家和天文学家的热门话题,同时也引起了广大科学爱好者的极大兴趣,对它们的寻找就一直没有停止过。这是因为磁单极粒子复杂的相互作用过程,与我们所了解的一般电磁现象截然不同,磁单极子问题不仅涉及物质磁性的一种来源、电磁现象的对称性,而且还同宇宙极早期演化理论及微观粒子结构理论等有关。磁单极子的引出对同性电荷的稳定性、电荷的量子化、轻子结构、轻子和强子的统一组成、轻子和夸克的对称等难题等,都能给以较好的解释。
虽然磁单极粒子假说到为止,还没有能在实验上得到最后的证实,但它仍将是当代物理学上十分引人注目的基本理论研究和实验的重要课题之一,因为磁单极粒子已成为解决一系列涉及微观世界和宏观世界重大问题的突破口,如果磁单极粒子确实存在,不仅现有的电磁理论要作重大修改,而且物理学以及天文学的基础理论又将有重大的发展,人们对宇宙起源和发展的认识也会再深入一步。
进展
在对磁单极粒子进行寻找的过程中,人们“收获”到的总是一次又一次地失望。不过,在一次又一次沉重、浓郁的失败的晦暗中间,也曾不时地闪现过一两次美妙的希望曙光。
有一些物理学家认为,磁单极粒子对周围物质有很强的吸引力,所以它们在感光底板上会留下又粗又黑的痕迹。根据这一特点,1975年,美国的一个科研小组,用气球将感光底板送到空气极其稀薄的高空,经过几昼夜宇宙射线的照射,发现感光底板上真的有又粗又黑的痕迹,他们欣喜若狂,于是迫不及待地在随后召开的一次国际会议上声称,他们找到了磁单极粒子。但是,对于那是否真的是磁单极粒子留下的痕迹,会上争论很大,大多数科学家认为那些痕迹很明显是重离子留下的,但试验者还是坚持认为那是磁单极粒子留下的“杰作”。双方为此展开了激烈的争论,谁也说服不了谁。所以,这些痕迹到底是谁留下的,还是桩难以了断的“悬案”。
1982年,美国物理学家凯布雷拉宣布,在他的实验仪器中发现了一个磁单极粒子。他采用一种称为超导量子干涉式磁强计的仪器,在实验室中进行了151天的实验观察记录,经过周密分析,实验所得的数据与磁单极粒子理论所提出的磁场单极粒子产生的条件基本吻合,因此他认为这是磁单极粒子穿过了仪器中的超导线圈。不过由于以后没有重复观察到类似于那次实验中所观察到的现象,所以这一事例还不能确证磁单极粒子的存在。
一组由中国、瑞士、日本等多国的科学家组成的研究小组报告说,他们发现了磁单极粒子存在的间接证据,他们在一种被称为铁磁晶体的物质中观察到反常霍尔效应,并且认为只有假设存在磁单极粒子才能解释这种现象。
研究
对磁单极粒子的存在持否定态度的科学家大有人在,他们提出了这样或那样的理由加以论证,而其中最主要的理由就是:鸟过留声、兽过留痕,如果磁单极粒子确实在宇宙中存在,它就总会留下蛛丝马迹,但迄今为止,人们用最先进的方法和最精密的仪器,在各种物质中寻找磁单极粒子,都一无所获。因此可以认为,它们可能根本就是一种仅仅存在于人们主观想象中的子虚乌有的产物。
在19世纪末20世纪初,还曾有科学家用以太学说来否定磁单极粒子的存在:在人们能够用光学方法探测到的太空中,弥漫着一种被称为以太的物质。由于以太的特殊性质,它们在太空中是以一种涡旋的状态分布的,很明显,宇宙中存在着大大小小的以太旋涡。因为旋涡是一种转动,这种旋涡不论大小,转动的东西一定有一个转轴。以太的旋涡实质上就是磁场,一个转轴有必定有两端,也就是有两个极,不存在只有一个端的转轴,所以就不存在磁单极粒子。但是,这一说法随着以太学说的被抛弃而归于销声匿迹。
还有人这样认为:“电场”和“磁场”是电荷和磁体四周存在着看不见、摸不着的物质。电荷和磁体通过各自的“场”这种物质向另外的电荷和磁体施加作用,同时场还表达了电力或磁力作用的范围;电力和磁力的无形的作用线分别称为“电力线”或“磁感应线”。因为电荷电场的电力线不是闭合的,它起源于正电荷,终止于负电荷,或延伸至无限远,它在电荷处是不连续的;而磁体磁场的磁感应线永远是闭合的,它在磁体内部和外部处处连续。实验中从来未见到过单个的磁极或磁荷,也从来未发现不闭合的磁感应线。所以,在经典电磁理论中,磁单极粒子存在的可能性就根本被排除了。正是由于上述原因,十分强调对称性的英国物理学家麦克斯韦在建立经典电磁理论的时候,虽然为了对称性也考虑过磁单极粒子,但是最终还是未敢贸然将它引入它的理论中。因此,这种不对称性在经典电磁理论中就一直保留。
其中特别应该指出的是,就连到了晚年的狄拉克本人,也对磁单极粒子是否存在产生了深深的怀疑。1981年,他在致一位友人的信中说:我已是属于那些不相信磁单极粒子存在之列的人了。因此,持否定观点的人还认为,应尽早放弃对磁单极粒子的寻找,因为这种寻找无异于缘木求鱼,只能是徒劳无功的。
如果磁场确实只是由于人们最先不知道相对论及其效应才引入的辅助量,那么实际上就不存在磁场,那么也就根本不存在磁荷,磁单极子自然也就找不到了。
肯定磁单极粒子存在者中,不乏非常杰出的物理学家。他们坚持认为,磁单极粒子是存在的,但它们成对结合得太紧密了,所有的高能粒子尚不能把它们轰开。但是,他们也认为,有一点是可以肯定的,这就是磁单极粒子即使存在,它们也极可能是在宇宙形成初期产生的,残存下来的数量也是微乎其微的,因为假如宇宙间充满了大量磁单极粒子,则宇宙间的磁场将不复存在。这些磁单极粒子本来就很少,而且它们又散布在极其广袤的宇宙之中,所以要找到它不是很容易的。但是,如果磁单极粒子含量很少,那么正负磁单极粒子之间相互湮没的几率也同时就会很低,所以它们就更有可能被保存下来。
也有的科学家首先肯定磁单极子的存在,但同时又承认磁单极粒子实际上很难发现。他们的理由是:在人类观测所及的范围内,存在的大多数磁单极粒子应是属于一种运动速度极其缓慢、“惰性”很强的“慢磁单极子”,而那些“精力充沛”、“运动神速”的“快磁单极子”,早已飞离银河系,消失在无边无际的宇宙空间。但“慢磁单极”粒子对物质电离作用很弱,要想观察到它们,需要有装置灵敏度高上万倍的探测器才可以,而科技水平,这样的探测器暂时还无法制造出来。
有的科学家甚至还推算出了磁单极粒子的质量,证明了磁单极粒子质量大得惊人,约为质子质量的1亿亿倍,比细菌还要大!所以他们进一步认为,无论是现代加速器还是高能宇宙射线,都不能产生如此大质量的粒子,仅在宇宙诞生即宇宙大爆炸时,才有磁单极粒子生成所需的极高的温度和极大的能量密度条件。
特别值得一提的是,科学家虽然在实验上寻找磁单极粒子时总是“扫兴而归”,但在预言磁单极粒子存在的理论却不断有创新。如海啸是一种骇人的自然现象,它常常导致海洋中产生一种异常稳定的孤立波,即孤立子。这种孤立子在波涛汹涌的大海中几乎不受其它任何外来事物的干扰,永葆自己的波形和能量,不停地涌向远方。前苏联物理学家鲍尔雅科夫和荷兰科学家特霍夫脱在对弱力和电磁力的关系进行研究时发现,在弱电场(弱力和电磁力是这种场的不同表现)中,会发生“场啸”,每次场啸将产生与孤立子类似的粒子,他们认为这种粒子极有可能就是磁单极粒子。
持肯定观点的科学家都一致认为:虽然磁单极粒子非常少,但考虑到它对物理学所产生的巨大影响,完全值得不遗余力地去寻找。两种观点激烈交锋,可谓是谁也说服不了谁。
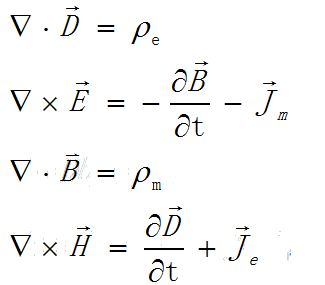
如果磁单极子存在,麦克斯韦方程组需要作出如下修改:
磁单极子
可以证明,对上式进行适当的坐标变换并令
日本特摄片《盖亚奥特曼》里面出现的一只怪兽莫奇安,就是一只磁力单极子怪兽。
2012年动漫机器人笔记(Robotics;Notes)中,主人公曾拾到过来自太空的磁单极体,以此设计出磁单极体电机,而使机器人获得更强大动力。
1、本站所有文本、信息、视频文件等,仅代表本站观点或作者本人观点,请网友谨慎参考使用。
2、本站信息均为作者提供和网友推荐收集整理而来,仅供学习和研究使用。
3、对任何由于使用本站内容而引起的诉讼、纠纷,本站不承担任何责任。
4、如有侵犯你版权的,请来信(邮箱:baike52199@gmail.com)指出,核实后,本站将立即删除。

















