-
二盐酸奎宁 编辑
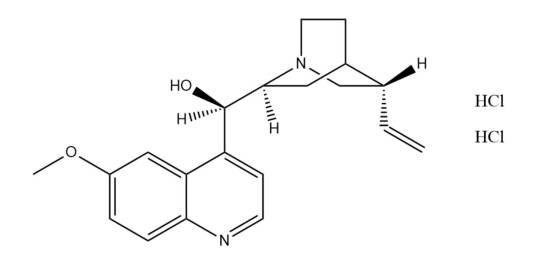
二盐酸奎宁,是一种有机化合物,化学式为C20H26Cl2N2O2,为喹啉类衍生物,能与疟原虫的DNA结合,形成复合物,抑制DNA的复制和RNA的转录,从而抑制原虫的蛋白合成。
中文名:二盐酸奎宁
外文名:quinine dihydrochloride
别名:盐酸奎宁
化学式:C20H26Cl2N2O2
分子量:397.346
CAS登录号:60-93-5
EINECS登录号:200-493-4
熔点:238 至 240 ℃
沸点:495.9 ℃
外观:白色固体
闪点:253.7 ℃
安全性描述:S26;S36
危险性符号:Xi
危险性描述:R36/37/38
基本信息
化学式:C20H26Cl2N2O2
分子量:397.346
CAS号:60-93-5
EINECS号:200-493-4
理化性质
熔点:238-240℃
沸点:495.9ºC
闪点:253.7ºC
外观:白色固体
基本信息
本品为6'-甲氧基-(8α,9R)-辛可宁-9-醇的二盐酸盐,按干燥品计算,含C20H24N2O2·2HCI不得少于99.0%。
性状
本品为白色粉末,无臭,遇光渐变色,水溶液显酸性反应。
本品在水中极易溶解,在乙醇中溶解,在三氯甲烷中微溶,在乙醚中极微溶解。
比旋度
取本品适量,精密称定,加0.1mol/L盐酸溶液溶解并定量稀释制成每1mL中约含30mg的溶液,依法测定(通则0621),比旋度为-223°至-229°。
鉴别
1、取本品约20mg,加水20mL溶解后,分取溶液10mL,滴加稀硫酸,即显蓝色荧光。
2、取上述溶液5mL,加溴试液3滴与氨试液1mL,即显翠绿色。
3、本品的红外光吸收图谱应与对照的图谱(光谱集11图)一致。
4、本品的水溶液显氯化物鉴别1的反应(通则0301)。
检查
酸度
取本品0.30g,加水10mL溶解后,依法测定(通则0631),pH值应为2.0~3.0。
硫酸盐
取本品1.0g,依法检查(通则0802),与标准硫酸钾溶液5.0mL制成的对照液比较,不得更浓(0.05%)。
其他金鸡纳碱
照薄层色谱法(通则0502)试验。
供试品溶液:取本品,加甲醇溶解并稀释制成每1mL中含10mg的溶液。
对照品溶液:取辛可尼丁对照品,加甲醇溶解并稀释制成每1mL中含0.25mg的溶液。
色谱条件:采用硅胶G薄层板,以甲苯-乙醚-二乙胺(20:12:5)为展开剂。
测定法:吸取供试品溶液与对照品溶液各5µL,分别点于同一薄层板上,展开,晾干,重复展开二次,晾干,在105°C干燥30分钟,放冷,喷以碘铅酸钾试液使显色。
限度:供试品溶液如显杂质斑点,与对照品溶液的主斑点比较,不得更深(2.5%)。
干燥失重
取本品,在105°C干燥至恒重,减失重储不得过3.0%(通则0831)。
炽灼残渣
不得过0.15%(通则0841)。
钡盐
取本品0.20g,加水10mL溶解后,加稀硫酸1mL,15分钟内不得发生浑浊。
含量测定
取本品约0.15g,精密称定,加醋酐5mL与醋酸采试液3mL溶解后,加结晶紫指示液1滴,用高氯酸滴定液(0.1mol/L)滴定至溶液显蓝绿色,并将滴定的结果用空白试验校正。每1mL高氯酸滴定液(0.1mol/L)相当于19.87mg的C20H24N2O2•2HCI。
类别
抗疟药。
贮藏
遮光,密封保存。
制剂
二盐酸奎宁注射液。
功用作用
作用较氯喹为弱。另外,奎宁能降低疟原虫氧耗量,抑制疟原虫内的磷酸化酶而干扰其糖代谢。
奎宁也引起疟色素凝集,但发展缓慢,很少形成大团块,并常伴随着细胞死亡。电子显微镜观察,可见原虫的核和外膜肿胀,并有小空泡,血细胞颗粒在小空泡内聚合,此与氯喹的色素凝集有所不同。在血液中,一定浓度的奎宁可导致被寄生红细胞早熟破裂,从而阻止裂殖体成熟。
该品对红外期无效,长疗程可根治恶性疟,但对恶性疟的配子体亦无直接作用,故不能中断传播。脑型疟疾和其它严重的恶性疟。
用法用量
成人用量按体重5-10mg/kg(最高量500mg),加入氯化钠注射液500mL中静脉滴注,4小时滴完,12小时后重复1次,病情好转后改口服。
小儿用量剂量同成人,按体重5~10mg/kg(最高量500mg)。
药物过量:奎宁致死量约8g。
注意事项
1、对于哮喘、心房纤颤及其他严重心脏疾患、葡萄糖-6-磷酸脱氢酶缺乏患者和妇女月经期均应慎用。
2、对诊断的干扰:奎宁可干扰17-羟类固醇的测定。
3、静脉推注易致休克,所以严禁静脉推注。
4、孕妇及哺乳期妇女用药:孕妇禁用,奎宁有催产作用,该品可通过胎盘引起胎儿听力损害及中枢神经系统、四肢的先天损伤。哺乳期妇女慎用。
安全术语
S26:In case of contact with eyes, rinse immediately with plenty of water and seek medical advice.
眼睛接触后,立即用大量水冲洗并征求医生意见。
S36:Wear suitable protective clothing.
穿戴适当的防护服。
风险术语
R36/37/38:Irritating to eyes, respiratory system and skin.
刺激眼睛、呼吸系统和皮肤。
1、本站所有文本、信息、视频文件等,仅代表本站观点或作者本人观点,请网友谨慎参考使用。
2、本站信息均为作者提供和网友推荐收集整理而来,仅供学习和研究使用。
3、对任何由于使用本站内容而引起的诉讼、纠纷,本站不承担任何责任。
4、如有侵犯你版权的,请来信(邮箱:baike52199@gmail.com)指出,核实后,本站将立即删除。

















