-
缩合反应 编辑
缩合反应是两个或两个以上有机分子相互作用后以共价键结合成一个大分子,并常伴有失去小分子(如水、氯化氢、醇等)的反应。
反应类型
羟醛缩合反应
醛、酮或羧酸衍生物等羰基化合物在羰基旁形成新的碳-碳键,从而把两个分子结合起来的反应。这些反应通常在酸或碱的催化作用下进行。一个羰基化合物在反应中生成烯醇或烯醇负离子后进攻另一个羰基的碳原子,从而生成新的碳-碳键。最简单的例子是乙醛的羟醛缩合反应,产物3-羟基丁醛有可能进一步失水而成2-丁烯醛,酸催化有利于失水反应的进行。由乙醛生成2-丁烯醛的反应是羰基与亚甲基发生缩合的例子可知,这类缩合都以羟醛缩合的形式开始,并随即失水而得碳-碳双键的产物。
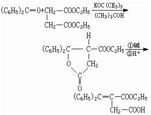
克莱森(Claisen)缩合反应
含有α-活泼氢的酯类在醇钠、三苯甲基钠等碱性试剂的作用下,发生缩合反应形成β-酮酸酯类化合物,称为克莱森缩合反应,反应可在不同的酯之间进行,称为交叉酯缩合;也可将本反应用于二元羧酸酯的分子内环化反应,这时反应又称为迪克曼反应。例如,乙酸乙酯在乙醇钠作用下生成乙酰乙酸乙酯。
珀金(Perkin)缩合反应
芳香醛与脂肪族羧酸酐在相应羧酸钠作用下生成肉桂酸型化合物。
珀金缩合反应
苯偶姻缩合反应
芳香族醛在氰化钾作用下发生两分子缩合,生成苯偶姻类化合物。
斯托贝缩合反应
醛或酮与丁二酸酯在强碱作用下生成2-亚烷基丁二酸衍生物。
斯托贝缩合反应
偶姻缩合反应
羧酸酯与钠发生双分子还原,生成偶姻类化合物。如以适当的链状二元羧酸酯为原料,通过这个反应,使发生分子内偶姻缩合,能制得中环化合物。
曼尼希(Mannich)反应
醛或酮与甲醛和二级胺或一级胺在弱酸性条件下发生氨甲基化反应。应用这个反应可在很温和的条件下合成一些复杂的、原仅天然存在的有机含氮化合物。例如,用等摩尔的丁二醛、3-戊酮二酸和甲胺的稀溶液在35℃、pH=5的条件下缩合,生成托品酮。
曼尼希反应
维蒂希(wittig)反应
醛或酮与维蒂希试剂发生缩合,是合成烯烃的重要方法。
乌尔曼缩合反应
卤代芳烃在铜粉(或氯化亚铜、氧化铜、硫酸铜、醋酸铜等)存在下与芳胺反应,生成高一级芳胺。当卤代芳烃有吸电子基团和芳胺有给电子基团,则有利于反应进行。除芳胺外,其他的亲核试剂如酚、硫酚等也能参与本反应。可利用本法由芳胺制备高一级的芳胺。
罗宾森增环反应
烯醇负离子或其他负碳离子(如CN-)在碱性条件下进攻α,β-不饱和羰基化合物或α,β-不饱和腈等亲电共轭体系时,负碳离子进攻β-碳原子并发生1,4-加成。这类反应称为迈克尔加成反应。通过迈尔克反应得到的产物为1,5-二酮时,可使之发生分子内羟醛缩合,从而形成一个环己烯酮环系,称为罗宾森增环反应。
达参(Darzen)缩合反应
醛或酮与α-卤代羧酸酯在强碱作用下发生类似于羟醛缩合的反应后,失去卤离子而得到α,β-环氧羧酸酯。它经水解后容易失羧而生成高一级的醛或酮。
1、本站所有文本、信息、视频文件等,仅代表本站观点或作者本人观点,请网友谨慎参考使用。
2、本站信息均为作者提供和网友推荐收集整理而来,仅供学习和研究使用。
3、对任何由于使用本站内容而引起的诉讼、纠纷,本站不承担任何责任。
4、如有侵犯你版权的,请来信(邮箱:baike52199@gmail.com)指出,核实后,本站将立即删除。

















