-
阿卡波糖 编辑
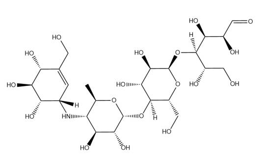
阿卡波糖,是一种有机化合物,化学式为C25H43NO18,为一种α-葡萄糖苷酶抑制剂,是复杂的低聚糖,其结构类似寡糖,这种非寡糖的“假寡糖”可在小肠上部细胞刷状缘处和寡糖竞争而与α-葡萄糖苷酶可逆地结合,抑制各种α-葡萄糖苷酶如麦芽糖酶、异麦芽糖酶、葡萄糖淀粉酶及蔗糖酶的活性,使淀粉分解成寡糖如麦芽糖(双糖)、麦芽三糖及糊精(低聚糖)进而分解成葡萄糖的速度减慢,使蔗糖分解成葡萄糖和果糖的速度减慢,因此造成肠道葡萄糖的吸收减缓,从而缓解餐后高血糖,达到降低血糖的作用。长期服用,可降低空腹血糖和糖化血红蛋白的浓度。
20世纪80年代,阿卡波糖由德国某公司研制。
1994年,阿卡波糖片剂在中国注册,注册号为X940420,X9440421。
1995年9月,阿卡波糖获美国食品药品管理局批准上市。
2002年起,针对当时中国阿卡波糖生产技术空白的现状,有关团队、公司开展联合攻关,在微生物育种与发酵、产物提取与纯化、制剂设计与生产等方面,开发了一系列创新性技术,并在实施企业成功实现了阿卡波糖的产业化,建成年产50吨原料生产线和20亿片片剂生产线,生产能力达到国内第一。片剂以商品名“卡博平”大量进入临床使用,使用量占国产制剂份额的95%以上。同时,阿卡波糖片通过欧盟GMP认证,出口国际高端市场,打破了国外制药巨头的长期技术和市场垄断。
疏水参数计算参考值(XlogP):-8.5
氢键供体数量:14
氢键受体数量:19
可旋转化学键数量:9
互变异构体数量:0
拓扑分子极性表面积(TPSA):321
重原子数量:44
表面电荷:0
复杂度:962
同位素原子数量:0
确定原子立构中心数量:19
不确定原子立构中心数量:0
确定化学键立构中心数量:0
不确定化学键立构中心数量:0
共价键单元数量:1
药理学
阿卡波糖为一种α—葡萄糖苷酶抑制剂,是复杂的低聚糖,其结构类似寡糖,这种非寡糖的“假寡糖”可在小肠上部细胞刷状缘处和寡糖竞争而与α-葡萄糖苷酶可逆地结合,抑制各种α-葡萄糖甘酶如麦芽糖酶、异麦芽糖酶、葡萄糖淀粉酶及蔗糖酶的活性,使淀粉分解成赛糖如麦芽糖(双糖)、麦芽三糖及糊精(低聚糖)进而分解成葡萄糖的速度减慢,使蔗糖分解成葡萄糖和果糖的速度减慢,因此造成肠道葡萄糖的吸收减缓,从而缓解餐后高血糖,达到降低血糖的作用。
毒理学
急性毒性小鼠、大鼠及犬一次口服给药达10g/kg,仍不能测出其LD50,也没有任何类型的毒性表现,静脉给药后亦无毒性作用。3个月的亚急性毒性实验,长达2年的慢性毒性实验均未发现有毒性作用。
特殊毒性:未发现致癌、致突变、致畸的证据。
药动学
口服阿卡波糖300mg后,2h血药浓度达到峰值,Cmax约为97μg/L,8h减少50%。长期服用未见药物在体内积蓄。有研究证明药物原形的生物利用度仅为1%~2%。由此可见,阿卡波糖口服后很少被吸收,这对避免不良反应十分有利。口服200mg后体内分布t½为3.7h,消除t½为9.6h,血浆蛋白结合率很低。在大肠、胃粘膜、小肠粘膜、膀胱、肝、肾分布浓度较高。静脉注射阿卡波糖100mg后,2h尿中以原形药物排泄为给药剂量的57%,24h达90%,其它途径排泄约10%。口服阿卡波糖200~300mg后尿中排泄的原形药只有1.7%。主要在肠道降解或以原形方式随大便排出。肠道降解是由各种淀粉酶和肠道细菌作用分解的。降解产物亦随粪便排泄。
适应症
可与其他口服降血糖药或胰岛素联合应用于胰岛素依赖型或非胰岛素依赖型的糖尿病。
阿卡波糖用于配合饮食治疗糖尿病,既可以单独应用也可以与其它糖尿病药物合用治疗糖尿病。对非胰岛素依赖型病人,当单纯饮食治疗不能控制血糖时,阿卡波糖应作为一线治疗药。当现有常规降糖药不能正常控制血糖时,可合并使用阿卡波糖。对胰岛素依赖型病人可与胰岛素配合使用。
用法用量
起始25mg,每日2~3次,6~8周后加量至50mg,每日3次。每日量不宜超过0.3g。用餐前即刻吞服或与第一口食物一起咀嚼服用。
不良反应
胃肠道功能紊乱。因糖类在小肠内分解及吸收障碍,而在结肠内由细菌作用于未吸收的糖类而导致胃肠胀气,如腹胀、腹泻和腹痛。有报道本品可引起肝细胞性肝损伤。伴有黄疸和转氨酶升高,停药可缓解。过敏反应、皮肤反应少见。
注意事项
定期检查肝功能,并避免大剂量用药。如出现低血糖反应,应使用葡萄糖,本品抑制二糖水解,饮糖水和进食效果差。
用药禁忌
对本品过敏者禁用。孕妇及哺乳期禁用。患肠炎、肠梗阻、肌酐清除率低于25ml/min者、18岁以下患者、肝肾功能不全、腹部手术史的患者禁用,因产气增加可使病情恶化。
药物相互作用
同时服用胰岛素和其他口服降糖药可能导致低血糖反应;抗酸剂、考来烯胺、消化酶制剂可降低降糖作用。
说明:上述内容仅作为介绍,药物使用必须经正规医院在医生指导下进行。
基本信息
本品为O-4,6-双去氧-4-氨基]-α-D-吡喃葡糖基-(1→4)-O-α-D-吡喃葡糖基-(1→4)-D-吡喃葡糖,按无水物计算,含C25H43NO18应为95.0%~102. 0%。
性状
本品为白色至淡黄色无定形粉末,无臭。
本品在水中极易溶解,在甲醇中溶解,在乙醇中极微溶解,在丙酮或乙腈中不溶。
比旋度
取本品,精密称定,加水溶解并定量稀释制成每1mL中约含5mg的溶液,依法测定(通则0621), 比旋度为+168°至+183°。
鉴别
1、在含量测定项下记录的色谱图中,供试品溶液主峰的保留时间应与对照品溶液主峰的保留时间一致。
2、本品的红外光吸收图谱应与对照品的图谱一致(通则0402)。
检查
酸碱度
取本品,加水溶解并制成每1mL中含20mg的溶液,依法测定(通则0631),pH值应为5.5~7.5。
吸光度
取本品,加水溶解并稀释制成每1mL中约含50mg的溶液,照紫外-可见分光光度法(通则0401),在425nm的波长处测定吸光度,不得过0.15。
有关物质
照高效液相色谱法(通则0512)测定。
供试品溶液:取本品适量,加水溶解并稀释制成每1mL中约含20mg的溶液。
对照溶液:精密量取供试品溶液1mL,置100mL量瓶中,用水稀释至刻度,摇匀。
系统适用性溶液:取阿卡波糖约0.2g,置10mL量瓶中,加少量水使溶解,加0.1mol/L氢氧化钠溶液1mL,混匀,放置1小时,加0.1mol/L盐酸溶液1mL中和,用水稀释至刻度,摇匀。
灵敏度溶液:精密量取对照溶液适量,用水定量稀释制成每1mL中约含10µg的溶液。
色谱条件:用氨基键合硅胶为填充剂(Welch Ultimate XB-N凡色谱柱,4.6mm×250mm,5µm或效能相当的色谱柱),以磷酸盐缓冲液(取磷酸二氢钾0.6g与无水磷酸氢二钠0.279g,加水溶解并稀释至1000mL)-乙腈(25:75) 为流动相,流速为每分钟2.0mL,检测波长为210nm,柱温35℃,进样体积10µL。
系统适用性要求:系统适用性溶液色谱图中,杂质Ⅳ峰、杂质Ⅱ峰、杂质Ⅰ峰与杂质Ⅲ峰的相对保留时间分别为0.5、0.8、0.9和1.2。杂质Ⅰ的峰高(Hp,从基线至杂质Ⅰ峰的最高点)与杂质Ⅰ和阿卡波糖两峰之间的峰谷(Hv,从基线至两峰之间的最低点)之比(Hp/Hv)不得低于2.0,理论板数按阿卡波糖峰计算不低于2000。灵敏度溶液色谱图中,阿卡波糖峰高的信噪比应大于10。
测定法:精密量取供试品溶液与对照溶液,分别注入液相色谱仪,记录色谱图至主成分峰保留时间的2.5倍。
限度:供试品溶液色谱图中如有杂质峰,杂质Ⅳ峰面积乘以0.7、杂质Ⅱ峰面积乘以0.63、杂质Ⅰ峰面积与杂质Ⅲ峰面积分别不得大于对照溶液主峰面积的1倍(1.0%)、0.5倍(0.5%)、0.6倍(0.6%)与1.5倍(1.5%),其他单个杂质峰面积不得大于对照溶液主峰面积的0.2倍(0.2%),校正后总峰面积不得大于对照溶液主峰面积的3倍(3.0%)。小于灵敏度溶液主峰面积的杂质峰忽略不计。
水分
取本品,照水分测定法(通则0832第一法1)测定,含水分不得过4.0%。
炽灼残渣
取本品1.0g,依法测定(通则0841),遗留残渣不得过0.2%。
重金属
取炽灼残渣项下遗留的残渣,依法检查(通则0821第二法),含重金属不得过百万分之二十。
含量测定
照高效液相色谱法(通则0512)测定。
供试品溶液
取本品适量,精密称定,加水溶解并定量稀释制成每1mL中约含1mg的溶液。
对照品溶液
取阿卡波糖对照品适量,精密称定,加水溶解并定量稀释制成每1mL中约含1mg的溶液。
系统适用性溶液、色谱条件与系统适用性要求
除灵敏度要求外,见有关物质项下。
测定法
精密量取供试品溶液与对照品溶液,分别注入液相色谱仪,记录色谱图。按外标法以峰面积计算。
类别
降糖药。
贮藏
密封,凉暗处保存。
制剂
1、阿卡波糖片。
2、阿卡波糖胶囊。
1、本站所有文本、信息、视频文件等,仅代表本站观点或作者本人观点,请网友谨慎参考使用。
2、本站信息均为作者提供和网友推荐收集整理而来,仅供学习和研究使用。
3、对任何由于使用本站内容而引起的诉讼、纠纷,本站不承担任何责任。
4、如有侵犯你版权的,请来信(邮箱:baike52199@gmail.com)指出,核实后,本站将立即删除。

















