-
焦磷酸 编辑
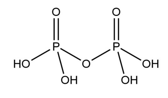
焦磷酸(Pyrophosphoric acid)是一种无机化合物,化学式H4P2O7。是一种无色黏稠液体,久置生成结晶,为无色玻璃状。焦磷酸根有很强的配位性,用作催化剂及隐蔽剂等;用作催化剂,金属精制,有机过氧化物的稳定剂。用于电镀铜工艺中调节电镀溶液的pH值,也用于其他电镀。
中文名:焦磷酸
外文名:Pyrophosphoric acid
别名:二磷酸
化学式:H4P2O7
分子量:177.98
CAS登录号:2466-09-3
EINECS登录号:219-574-0
熔点:61 ℃
水溶性:易溶于水
密度:2.04 g/cm³
外观:无色液体
应用:分析试剂、催化剂、金属精制等
安全性描述:S26;S36/37/39;S45
危险性符号:R34
危险性描述:腐蚀性
UN危险货物编号:3260
精确质量:177.94300
PSA:143.91000
CAS号:2466-09-3
MDL号:MFCD00011343
EINECS号:21
RTECS号:JL6672500
PubChem号:24867134
外观与性状:无色针状晶体或黄色粘性液体
溶解性:溶于水,也易溶于于醇、醚。
密度:2.43 g/cm3
熔点:54.3 °C(25度,1个大气压)
储存条件:Keep tightly closed. Store in a cool dry place.
1.用水稀释易变为正磷酸
比例模型
易溶于水,其水溶液有强酸性:
K1=7.5×10-1
K2=6.2×10-2
K3=1.7×10-6
K4=6.0×10-9
(焦磷酸、四偏磷酸或其他多聚磷酸的链状和环状结构是正磷酸脱水缩合而成的,均为缩合酸。一般缩合酸的酸性均大于单酸,这是因为缩合酸根离子体积大,其表面的负电荷密度降低很多,因此缩合酸易解离出质子。同类含氧酸的缩合程度越大,酸性越强)
2.焦磷酸根遇银盐得白色焦磷酸银沉淀,在溶液中P2O74-转化为PO43-的速率非常慢,可用此反应鉴别P2O74-和PO43-(Ag3PO4为黄色沉淀);
P2O74-+4Ag+=Ag4P2O7↓
3.焦磷酸根有很强的配位性,过量的P2O74-能使难溶的焦磷酸盐(Cu2+、Ag+、Zn2+、Mg2+、Ca2+、Sn2+等)溶解形成配离子,如6-、6-等。
急性毒性:小鼠LC50:1170mg/kg。
该物质对环境可能有危害,对水体应给予特别注意。
1、摩尔折射率:23.68
2、摩尔体积(cm3/mol):732.2
3、等张比容(90.2K):262.9
4、表面张力(dyne/cm):166.3
5、极化率:9.38
6、单一同位素质量:177.943224 Da
7、标称质量:178 Da
8、平均质量:177.9751 Da
1、疏水参数计算参考值(XlogP):-3.2
2、氢键供体数量:4
3、氢键受体数量:7
4、可旋转化学键数量:2
5、互变异构体数量:无
6、拓扑分子极性表面积(TPSA):124
7、重原子数量:9
8、表面电荷:0
9、复杂度:147
10、同位素原子数量:0
11、确定原子立构中心数量:0
12、不确定原子立构中心数量:0
13、确定化学键立构中心数量:0
14、不确定化学键立构中心数量:0
15、共价键单元数量:1
用作催化剂及隐蔽剂等;用作催化剂,金属精制,有机过氧化物的稳定剂。用于电镀铜工艺中调节电镀溶液的pH值,也用于其他电镀。
用作分析试剂,如做掩蔽剂,用于制备有机磷酸酯。 用于电镀铜工艺中,调节电镀液的pH值,也可用于其他电镀。
1.由正磷酸热至519K,失水而成焦磷酸;
2.纯焦磷酸可由加热正磷酸和三氯氧磷制得:
3.纯焦磷酸也可由磷酸氢钠加热得焦磷酸钠,将其溶解,转化成焦磷酸铅沉淀,再通入硫化氢,过滤将滤液真空低温浓缩即得。
RTECS号:JL6672500
危险品标志:C:Corrosive
风险术语:R34
安全术语:S26:S36/37/39:S45
危险品运输编号:UN 3260 8/PG 2
危险类别: 8
包装等级: III
可燃性特征: 3-9-21
风险术语
R34:引起灼伤。
安全术语
S26:不慎与眼睛接触后,请立即用大量清水冲洗并征求医生意见。
S45:若发生事故或感不适,立即就医(可能的话,出示其标签)。
S36/37/39:穿戴适当的防护服、手套和护目镜或面具。
紧急情况概述:造成严重皮肤灼伤和眼损伤。
GHS危险性类别:皮肤腐蚀 / 刺激 类别 1B
警示词:危险
危险性说明:H314 造成严重皮肤灼伤和眼损伤。
防范说明:
预防措施:
P260 不要吸入粉尘/烟/气体/烟雾/蒸气/喷雾。
P264 作业后彻底清洗。
P280 戴防护手套/穿防护服/戴防 护眼罩/戴防护面具。
事故响应:
P301+P330+P331 如误吞咽: 漱口。不要诱导呕吐。
P303+P361+P353 如皮肤(或头发)沾染: 立即脱掉所有沾染的衣服。用 水清洗皮肤/淋浴。
P363 沾染的衣服清洗后方可重新使 用。
P304+P340 如误吸入: 将人转移到空气新鲜处,保持 呼吸舒适体位。
P310 立即呼叫解毒中心/医生。
P305+P351+P338 如进入眼睛: 用水小心冲洗几分钟。如戴隐形眼镜并可方便地取出,取出隐形眼镜。继续冲洗。
安全储存:P405 存放处须加锁。
废弃处置:P501 按当地法规处置内装物/容器。
健康危害:造成严重皮肤灼伤和眼损伤。
1、本站所有文本、信息、视频文件等,仅代表本站观点或作者本人观点,请网友谨慎参考使用。
2、本站信息均为作者提供和网友推荐收集整理而来,仅供学习和研究使用。
3、对任何由于使用本站内容而引起的诉讼、纠纷,本站不承担任何责任。
4、如有侵犯你版权的,请来信(邮箱:baike52199@gmail.com)指出,核实后,本站将立即删除。

















