-
盐酸伪麻黄碱 编辑
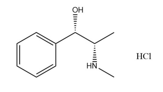
盐酸伪麻黄碱,是一种有机化合物,化学式为C10H16ClNO,是一种β2肾上腺素受体激动药,临床上适用于减轻感冒、过敏性鼻炎、鼻炎及鼻窦炎引起的鼻充血症状。
中文名:盐酸伪麻黄碱
外文名:Pseudoephedrine Hydrochloride
别名:盐酸伪麻黄素、盐酸右旋麻黄素、盐酸右旋麻黄碱
化学式:C10H16ClNO
分子量:201.693
CAS登录号:345-78-8
EINECS登录号:206-462-1
熔点:181 至 182 ℃
沸点:255 ℃
水溶性:极易溶解
密度:1.198 g/cm³
外观:白色结晶性粉末
闪点:85.6 ℃
安全性描述:S24/25;S26;S36
危险性符号:Xn
危险性描述:R22
化学式:C10H16ClNO
分子量:201.693
CAS号:345-78-8
EINECS号:206-462-1
熔点:181-182℃
沸点:255℃
闪点:85.6℃
密度:1.198g/cm3
比旋度:+61.0°至+62.5°
外观:白色结晶性粉末
溶解性:在水中极易溶解,在乙醇中易溶,在氯仿中微溶
疏水参数计算参考值(XlogP):无
氢键供体数量:3
氢键受体数量:2
可旋转化学键数量:3
互变异构体数量:
拓扑分子极性表面积(TPSA):32.3
重原子数量:13
表面电荷:0
复杂度:121
同位素原子数量:0
确定原子立构中心数量:2
不确定原子立构中心数量:0
确定化学键立构中心数量:0
不确定化学键立构中心数量:0
共价键单元数量:2
减轻感冒、过敏性鼻炎、鼻炎及鼻窦炎引起的鼻充血症状,控制支气管哮喘。
来源
本品为-α-苯甲醇盐酸盐,按干燥品计算,含C10H15NO•HCI不得少于99.0%。
性状
本品为白色结晶性粉末,无臭。
本品在水中极易溶解,在乙醇中易溶,在三氯甲烷中微溶。
熔点
本品的熔点(通则0612第一法)为183-186℃。
比旋度
取本品,精密称定,加水溶解并定量稀释制成每1mL中约含50mg的溶液,依法测定(通则0621),比旋度为+61.0°至+62.5°。
鉴别
1、取本品,加水制成每1mL中含0.5mg 的溶液,照紫外-可见分光光度法(通则0401)测定,在251nm、257nm与263nm的波长处有最大吸收。
2、本品的红外光吸收图谱应与对照的图谱(光谱集642图)一致。
3、本品的水溶液显氯化物的鉴别1的反应(通则0301)。
检查
酸碱度
取本品0.2g,加水10mL溶解后,加甲基红指示液1滴,如显淡红色,加氢氧化钠滴定液(0.02mol/L)0.10mL,应变为黄色,如显黄色,加盐酸滴定液(0.02mol/L)0.10mL,应变为红色。
溶液的澄清度与颜色
取本品1g,加水20mL溶解后,溶液应澄清,几乎无乳光,无色,如显浑浊,与1号浊度标准液(通则0902第一法)比较,不得更浓。
有关物质
照高效液相色谱法(通则0512)测定。
供试品溶液:取本品,加流动相溶解并制成每1mL中约含2mg的溶液。
对照溶液:精密量取供试品溶液适量,用流动相定量稀释制成每1mL中约含10µg的溶液。
系统适用性溶液:取盐酸麻黄碱对照品约10mg,置100mL量瓶中,加供试品溶液5mL,加流动相溶解并稀释至刻度,摇匀。
色谱条件:用苯基硅烷键合硅胶为填充剂,以1.16%醋酸铵溶液-甲醇(94:6,用醋酸调节pH值至4.0)为流动相,检测波长为257nm,进样体积20µL。
系统适用性要求:理论板数按伪麻黄碱峰计算不低于2000,伪麻黄碱峰与麻黄碱峰之间的分离度应大于2.0。
测定法:精密量取供试品溶液与对照溶液,分别注入液相色谱仪,记录色谱图至主成分峰保留时间的2倍。
限度:供试品溶液色谱图中如有杂质峰,单个杂质峰面积不得大于对照溶液主峰面积(0.5%),各杂质峰面积的和不得大于对照溶液主峰面积的2倍(1.0%),小于对照溶液主峰面积0.1倍的色谱峰忽略不计。
干燥失重
取本品,在105℃干燥至恒重,减失重量不得过0.5 %(通则0831)。
炽灼残渣
不得过0.1%(通则0841)。
重金属
取本品1.0g,加水23mL溶解后,加醋酸盐缓冲液(pH3.5)2mL,依法检查(通则0821第一法),含重金属不得过百万分之二十。
含量测定
取本品约0.3g,精密称定。加冰醋酸10mL,微热溶解后,加醋酸汞试液5mL与结晶紫指示剂1滴,用高氯酸滴定液(0.1mol/L)滴定至溶液显蓝绿色,并将滴定的结果用空白试验校正。每1mL高氯酸滴定液(0.1mol/L)相当于20.17mg的C10H15NO·HCl。
类别
β2肾上腺素受体激动药。
贮藏
避光,密封保存。
安全术语
S24/25:Avoid contact with skin and eyes.
避免皮肤和眼睛接触。
S26:In case of contact with eyes, rinse immediately with plenty of water and seek medical advice.
眼睛接触后,立即用大量水冲洗并征求医生意见。
S36:Wear suitable protective clothing.
穿戴适当的防护服。
风险术语
R22:Harmful if swallowed.
吞食是有害的。
1、本站所有文本、信息、视频文件等,仅代表本站观点或作者本人观点,请网友谨慎参考使用。
2、本站信息均为作者提供和网友推荐收集整理而来,仅供学习和研究使用。
3、对任何由于使用本站内容而引起的诉讼、纠纷,本站不承担任何责任。
4、如有侵犯你版权的,请来信(邮箱:baike52199@gmail.com)指出,核实后,本站将立即删除。

















