-
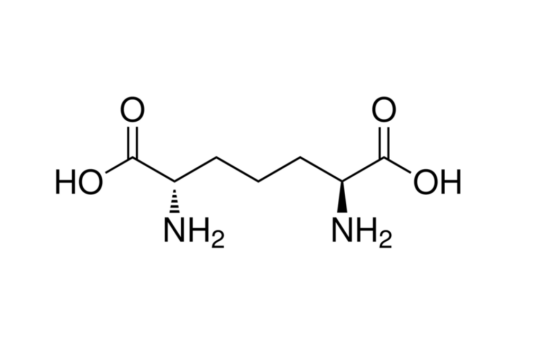
二氨基庚二酸 编辑
1949年沃克(E.Work)从白喉菌(白喉棒杆菌)的水解物中发现的一种氨基酸。
内消旋-2,6-二氨基庚二酸 meso-2,6-diaminopimelic acid(DAP)
根据调查,除革兰氏阳性球菌及某种链霉菌外,广泛存在于几乎所有的真细菌(古细菌未发现含有)。其含量相当于全细胞干重的0.02—0.2%,在细胞内,存在于可溶性组分及细胞壁组分等处。此外,在结核菌的可溶性蛋白质部分、抗原性脂多糖以及从枯草芽孢杆菌的芽孢提取的细胞外肽中也有所发现。其天然物无光学活性,为内消旋体。据证明,它的生物学机能除形成稳定的细胞壁组成成分之外,在某些细菌来说(大肠杆菌、产气杆菌),通过二氨基庚二酸脱羧酶的作用,脱羧后生成赖氨酸,成为赖氨酸生物合成的前体物质。进行生物合成时,从天冬氨酸半醛和丙酮酸首先形成吡啶羧酸,接着开环后再引入一个氨基。
1、本站所有文本、信息、视频文件等,仅代表本站观点或作者本人观点,请网友谨慎参考使用。
2、本站信息均为作者提供和网友推荐收集整理而来,仅供学习和研究使用。
3、对任何由于使用本站内容而引起的诉讼、纠纷,本站不承担任何责任。
4、如有侵犯你版权的,请来信(邮箱:baike52199@gmail.com)指出,核实后,本站将立即删除。

















