-
D-葡萄糖 编辑
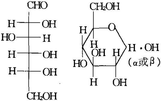
D-glucose其最高编号的手性C原子上的-OH在右边。有开链结构和环形结构,有α-及β-异构体。以游离态存在于葡萄、蜂蜜、甜水果、动物的血液、脊髓液和淋巴液等中,又作为多糖的组分及糖甙的形式广存于自然界中。由淀粉水解而得。本品为D-(+)-吡喃葡萄糖一水合物。
物理性质
D-葡萄糖
化学性质
D-葡萄糖具有一般醛糖的化学性质:在氧化剂作用下,生成葡萄糖酸,葡萄糖二酸或葡萄糖醛酸;在还原剂作用下,生成山梨醇;在弱碱作用下,葡萄糖可与另两种结构相近的六碳糖(果糖和甘露糖)三者之间通过烯醇式相互转化。
性状
本品为无色结晶或白色结晶性或颗粒性粉末;无臭,味甜。
本品在水中易溶,在乙醇中微溶。
比旋度 取本品约10g,精密称定,置100ml量瓶中,加水适量与氨试液0.2ml,溶解后,用水稀释至刻度,摇匀,放置10分钟,在25℃时,依法测定(通则 0621),比旋度为+ 52.6°至+ 53.2°。
鉴别
(1)取本品约0.2g,加水5ml溶解后,缓缓滴入微温的碱性酒石酸铜试液中,即生成氧化亚铜的红色沉淀。
(2)取干燥失重项下的本品适量,依法测定,本品的红外光吸收图谱应与对照的图谱(光谱集 702图)一致。
检查
酸度 取本品2.0g,加水20ml溶解后,加酚酞指示液3滴与氢氧化钠滴定液(0.02mol/L)0.20ml,应显粉红色。
溶液的澄清度与颜色 取本品5.0g,加热水溶解后,放冷,用水稀释至10ml,溶液应澄清无色;如显浑浊,与1号浊度标准液(通则 0902第一法)比较,不得更浓;如显色,与对照液(取比色用氯化钴液3.0ml、比色用重铬酸钾液3.0ml与比色用硫酸铜液6.0ml,加水稀释成50ml)1.0ml加水稀释至10ml比较,不得更深。
乙醇溶液的澄清度 取本品1.0g,加乙醇20ml,置水浴上加热回流约40分钟,溶液应澄清。
氯化物 取本品0.60g,依法检查(通则 0801),与标准氯化钠溶液6.0ml制成的对照液比较,不得更浓(0.01%)。
硫酸盐 取本品2.0g,依法检查(通则 0802),与标准硫酸钾溶液2.0ml制成的对照液比较,不得更浓(0.01%)。
亚硫酸盐与可溶性淀粉 取本品1.0g,加水10ml溶解后,加碘试液1滴,应即显黄色。
干燥失重 取本品,在105℃干燥至恒重,减失重量为7.5%~9.5%(通则 0831)。
炽灼残渣 不得过0.1%(通则 0841)。
蛋白质 取本品1.0g,加水10ml溶解后,加磺基水杨酸溶液(1→5)3ml,不得发生沉淀。
钡盐 取本品2.0g,加水20ml溶解后,溶液分成两等份,一份中加稀硫酸1ml,另一份中加水1ml,摇匀,放置15分钟,两液均应澄清。
钙盐 取本品1.0g,加水10ml溶解后,加氨试液1ml与草酸铵试液5ml,摇匀,放置1小时,如发生浑浊,与标准钙溶液1.0ml制成的对照液比较,不得更浓(0.01%)。
铁盐 取本品2.0g,加水20ml溶解后,加硝酸3滴,缓慢煮沸5分钟,放冷,用水稀释制成45ml,加硫氰酸铵溶液(30→100)3.0ml,摇匀,如显色,与标准铁溶液2.0ml用同一方法制成的对照液比较,不得更深(0.001%)。
重金属 取本品4.0g,加水23ml溶解后,加醋酸盐缓冲液(pH 3.5)2ml,依法检查(通则 0821第一法),含重金属不得过百万分之五。
砷盐 取本品2.0g,加水5ml溶解后,加稀硫酸5ml与溴化钾溴试液0.5ml,置水浴上加热约20分钟,使保持稍过量的溴存在,必要时,再补加溴化钾溴试液适量,并随时补充蒸散的水分,放冷,加盐酸5ml与水适量使成28ml,依法检查(通则 0822第一法),应符合规定(0.0001%)。
微生物限度 取本品10g,用pH 7.0无菌氯化钠-蛋白胨缓冲液制成1:10的供试液。
需氧菌总数、霉菌和酵母菌总数 取供试液1ml,依法检查(通则 1105平皿法),lg供试品中需氧菌总数不得过l000cfu,霉菌和酵母菌总数不得过l00cfu。
大肠埃希菌 取1:10的供试液10ml,依法检查(通则 1106),lg供试品中不得检出。
类别
营养药。
贮藏
密封保存。
制剂
(1)葡萄糖注射液 (2)葡萄糖粉剂 (3)葡萄糖氯化钠注射液 (4)复方乳酸钠葡萄糖注射液
1、本站所有文本、信息、视频文件等,仅代表本站观点或作者本人观点,请网友谨慎参考使用。
2、本站信息均为作者提供和网友推荐收集整理而来,仅供学习和研究使用。
3、对任何由于使用本站内容而引起的诉讼、纠纷,本站不承担任何责任。
4、如有侵犯你版权的,请来信(邮箱:baike52199@gmail.com)指出,核实后,本站将立即删除。

















