-
芦丁 编辑
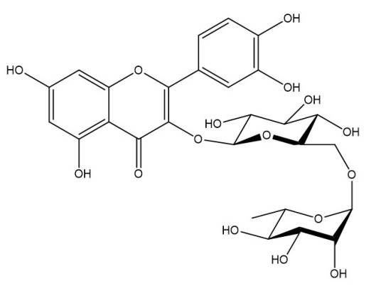
芦丁,又称为芸香苷、维生素P,分子式为C27H30O16,是一种天然的黄酮苷,属于广泛存在于植物中的黄酮醇配糖体,两个配糖体为葡萄糖和鼠李糖。外观为淡黄色或淡绿色结晶性粉末。能溶于吡啶、甲酰和碱液,微溶于乙醇、丙酮和乙酸乙酯,几乎不溶于氯仿、醚、苯、二硫化碳和石油醚。具有抗炎、抗氧化、抗过敏、抗病毒等功效。
分子量:610.518
CAS号:153-18-4
EINECS号:205-814-1
熔点:195℃
沸点:983.1℃
闪点:325.4℃
折射率:1.765
外观:淡黄色或淡绿色结晶性粉末
溶解性:能溶于吡啶、甲酰和碱液,微溶于乙醇、丙酮和乙酸乙酯,几乎不溶于水、氯仿、醚、苯、二硫化碳和石油醚
2、慢性毒性/致癌性:大鼠经口TDLo:973 mg/kg/3Y-C
摩尔体积(cm3/mol):334.1
等张比容(90.2K):1117.8
表面张力(dyne/cm):125.2
极化率(10-24cm3):54.77
氢键供体数量:10
氢键受体数量:16
可旋转化学键数量:6
互变异构体数量:162
拓扑分子极性表面积:266
重原子数量:43
表面电荷:0
复杂度:1020
同位素原子数量:0
确定原子立构中心数量:10
不确定原子立构中心数量:0
确定化学键立构中心数量:0
不确定化学键立构中心数量:0
共价键单元数量:1
2、将原料(一般用槐花蕾)粉碎后,用热乙醇萃取,再经乙醚、热甲醇和热水多次结晶精制而得。浸提物浓缩后所得的残留物,用溶剂将其他可溶性色素等不纯物除去后,再经乙醇、乙醚、热甲醇和热水多次结晶和活性炭精制而得高纯度物。
2、具有抗炎作用,能降低如芥子油对动物眼睛或皮肤引起的炎症,有抗病毒作用。
3、具有维持血管抵抗力、降低其通透性、减少脆性等作用。可用于防治脑溢血、高血压、视网膜出血、紫癜和急性出血性肾炎等疾病。
氧分子在细胞代谢中是以单电子形式还原的,氧分子在单电子还原产生的O离子,体内继而产生H2O2以及毒性极大的·OH自由基,因此影响皮肤的嫩滑程度,甚至加速皮肤老化程度,而产品中添加芦丁能很明显地清除细胞产生的活性氧自由基。芦丁为黄酮类化合物,是清除自由基的强抗氧化剂,它可终止自由基的连锁反应,抑制生物膜上多不饱合脂肪酸的过氧化作用,清除脂质过氧化产物,保护生物膜及亚细胞结构的完整性,在机体内起着重要作用。
抗脂质过氧化作用
脂质过氧化是指活性氧自由基攻击生物膜中多不饱和脂肪酸而引起的一系列氧化过程。朱建林等通过对大鼠SOD活性、自由基脂质过氧化产物MDA含量及大肝脏脂褐(Lipofuscin)含量的测定及分析发现芦丁对去势大鼠脂质过氧化有抑制作用,可抑制去势后大鼠抗氧化系统抗氧化能力的下降。芦丁具有对抗内源性雌激素下降引起的抗氧化能力的下降,具有抗氧化作用。高密度脂蛋白(HDL)具有抗动脉粥样硬化作用。但HDL与低密度脂蛋白(LDL)及极低密度脂蛋白(VLDL)一样在体外也可被氧化修饰,一旦HDL被氧化修饰成Ox-HDL,则具有致动脉粥样硬化作用。孟芳等利用体外Cu2+介导氧化修饰的手段,探讨了芦丁对HDL氧化修饰作用的影响。结论表明芦丁可显著抑制HDL的氧化修饰。
拮抗血小板活化因子作用
血栓形成、动脉粥样硬化、炎症反应及缺血-再灌注自由基损伤等诸多心脑血管疾病的发病过程均与血小板活化因子(plateletactivatingfactor,PAF)介导密切相关,因此拮抗PAF的作用,为目前缓解缺血性心脑血管疾病的重要途径。实验表明,芦丁可浓度依赖地拮抗PAF与兔血小板膜受体的特异性结合,抑制PAF介导兔血小板黏附与PMNs内游离Ca2+浓度升高,表明芦丁抗PAF的作用机制是通过抑制PAF受体活化,进而阻断PAF诱发的反应,从而起到保护心血管的作用,结果表明芦丁为一种PAF受体拮抗药。
抗急性胰腺炎
芦丁能有效防止低钙血症的发生,并降低胰腺组织Ca2+浓度。研究发现芦丁能提高胰腺组织大鼠磷脂酶A2(PLA2)含量,提示芦丁可能对胰腺组织PLA2的释放及激活具有抑制作用;芦丁能有效防止AP大鼠低钙血症的发生,可能是通过阻止Ca2+内流并降低胰腺组织细胞Ca2+超载,而减轻对AP的病理生理损害。
1、本站所有文本、信息、视频文件等,仅代表本站观点或作者本人观点,请网友谨慎参考使用。
2、本站信息均为作者提供和网友推荐收集整理而来,仅供学习和研究使用。
3、对任何由于使用本站内容而引起的诉讼、纠纷,本站不承担任何责任。
4、如有侵犯你版权的,请来信(邮箱:baike52199@gmail.com)指出,核实后,本站将立即删除。

















